Skip to content Skip to sidebar Skip to footer

Widget HTML #1

Contoh Soal Limit Fungsi Faktorisasi : Tuliskan 20 Soal Dan Jawaban Tentang Limit Tak Hingga Limit Angka Limit Nol Brainly Co Id / Contoh penyelesaian limit fungsi, fungsi invers dan fungsi komposisi, dan matriks dengan menggunakan matlab soal limit fungsi :

Contoh Soal Limit Fungsi Faktorisasi : Tuliskan 20 Soal Dan Jawaban Tentang Limit Tak Hingga Limit Angka Limit Nol Brainly Co Id / Contoh penyelesaian limit fungsi, fungsi invers dan fungsi komposisi, dan matriks dengan menggunakan matlab soal limit fungsi :. Menentukan limit dengan cara diatas tidaklah efisien. Contoh soal limit fungsi bagian 1 memuat kumpulan soal un dengan level kognitif pengetahuan dan pemahaman. Dalam pengoperasian limit fungsi aljabar, terdapat beberapa hukum atau teorema limit yang perlu diperhatikan. Contoh soal limit fungsi pemfaktoran contoh soal limit kalkulus contoh soal limit substitusi. Kompas.com/rigel raimardacontoh soal limit fungsi.

Contoh soal limit fungsi halaman all kompas com. Sebagai contoh, produksi maksimum dari mesin suatu pabrik, dapat dikatakan. Contoh soal fungsi limit — untuk memudahkan dalam menentukan nilai had fungsi, kita perlu nama fungsi had hartanah. Tahukah kamu kalau soal tentang limit fungsi aljabar tergolong soal yang unik dan menantang? Bagikan ini merupakan limit dari fungsi saat jika dan hanya jika, untuk setiap terdapat yang memenuhi.

Soal Limit Aljabar Yang Diselesaikan Dengan Pemfaktoran
Soal Limit Aljabar Yang Diselesaikan Dengan Pemfaktoran from maths.id
Kompas.com/rigel raimardacontoh soal limit fungsi. Pengertian limit dalam ilmu matematika. Bagikan ini merupakan limit dari fungsi saat jika dan hanya jika, untuk setiap terdapat yang memenuhi. Berikut ini adalah kumpulan soal latihan limit tak tentu fungsi aljabar yang penyelesaiannya menggunakan faktorisasi. Konsep limit digunakan untuk menjelaskan sifat dari suatu fungsi, saat argumen mendekati ke suatu titik, atau tak hingga, atau sifat dari suatu barisan saat. Namun dipertemuan sebelumnya kami telah membahas mengenai contoh soal fungsi. Karena suatu fungsi umumnya tidak terdefinisi pada titik tertentu. Limit didalam konsep ilmu matematik biasa digunakan untuk menjelaskan suatu sifat dari suatu fungsi, saat agumen telah mendekati pada suatu titik tak terhingga atau sifat dari suatu.

Sama seperti limit fungsi pada umumnya, limit fungsi aljabar adalah fungsi yang mendekati suatu nilai dimana x mendekati suatu nilai berhingga (dapat dihitung).

Limit menjelaskan tentang suatu fungsi jika batas tertentu didekati. Tim soalkimia.com telah merangkum soal dan jawaban terkait materi limit fungsi untuk siswa pelajari dirumah sebagai latihan juga persiapan sebelum mengikuti ulangan. Selanjutnya, akan diberikan rumus dari limit fungsi secara umum atau bisa kita sebut sebagai sifat dari limit fungi seperti di bawah ini Contoh soal limit fungsi bagian 1 memuat kumpulan soal un dengan level kognitif pengetahuan dan pemahaman. Karena suatu fungsi umumnya tidak terdefinisi pada titik tertentu. Sehingga nilai dari limit fungsi pada soal dengan menggunakan metode numerik maupun faktorisasi adalah 8. Postingan ini membahas contoh soal limit fungsi yang disertai pembahasannya atau penyelesaiannya. Dikatakan unik karena dapat dikerjakan dengan berbagai langkah dan menantang karena dapat menarik perhatian. Fungsi had hartanah ialah teorem yang digunakan dalam menyelesaikan had fungsi. Pembahasan soal limit fungsi aljabar soal limit dengan pemfaktoran contoh limit dengan substitusi contoh limit dengan membagi pangkat tertinggi soal limit untuk tak terhingga informasi serba definisi. Tentukan nilai limit fungsi aljabar dari. Sama seperti limit fungsi pada umumnya, limit fungsi aljabar adalah fungsi yang mendekati suatu nilai dimana x mendekati suatu nilai berhingga (dapat dihitung). Soal dan penyelesaian limit fungsi.

Contoh soal limit matematika sebelum masuk kesoal lebih baik dibaca dulu rumus limit fungsi soal no. Salah satu caranya adalah dengan memfaktorkan pembilang dan membaginya dengan penyebut sehingga hasil yang didapatkan tepat. Konsep limit digunakan untuk menjelaskan sifat dari suatu fungsi, saat argumen mendekati ke suatu titik, atau tak hingga, atau sifat dari suatu barisan saat. Limit merupakan sebuah konsep matematika dimana sesuatu dikatakan hampir atau mendekati nilai suatu bilangan tertentu. Selanjutnya, akan diberikan rumus dari limit fungsi secara umum atau bisa kita sebut sebagai sifat dari limit fungi seperti di bawah ini

Limit Fungsi Sifat Sifat Dan Contoh Soalnya Partnermatematika Com
Limit Fungsi Sifat Sifat Dan Contoh Soalnya Partnermatematika Com from 2.bp.blogspot.com
Dengan konsep limit dapat ditentukan nilai yang didekati oleh fungsi apabila variabelnya diketahui mendekati atau menuju sebuah nilai. Untuk menyelesaikan had fungsi terdapat pelbagai cara, satu adalah melalui penggantian. Limit bisa diartikan sebagai menuju suatu batas, sesuatu yang dekat tetapi tidak bisa dicapai. Pembahasan limit x menuju ∞ dengan pangkat tertinggi dari pembilang lebih rendah dari penyebutnya, m < n. Fungsi had hartanah ialah teorem yang digunakan dalam menyelesaikan had fungsi. Limit didalam konsep ilmu matematik biasa digunakan untuk menjelaskan suatu sifat dari suatu fungsi, saat agumen telah mendekati pada suatu titik tak terhingga atau sifat dari suatu. Contoh soal limit fungsi pemfaktoran contoh soal limit kalkulus contoh soal limit substitusi. Contoh soal limit fungsi aljabar.

Contoh berikutnya tipe soal limit → ∞ yang berbentuk selisih akar kuadrat.

Limit menjelaskan tentang suatu fungsi jika batas tertentu didekati. Sama seperti limit fungsi pada umumnya, limit fungsi aljabar adalah fungsi yang mendekati suatu nilai dimana x mendekati suatu nilai berhingga (dapat dihitung). Pembahasan limit selisih akar dengan a > c, sehingga hasilnya = ∞. Tentukan nilai limit fungsi aljabar dari. Pengertian limit dalam ilmu matematika. Bagikan ini merupakan limit dari fungsi saat jika dan hanya jika, untuk setiap terdapat yang memenuhi. Limit suatu fungsi adalah salah satu konsep mendasar dalam kalkulus dan analisis, tentang sifat suatu fungsi mendekati titik masukan tertentu. Pembahasan soal limit fungsi aljabar soal limit dengan pemfaktoran contoh limit dengan substitusi contoh limit dengan membagi pangkat tertinggi soal limit untuk tak terhingga informasi serba definisi. Selanjutnya, akan diberikan rumus dari limit fungsi secara umum atau bisa kita sebut sebagai sifat dari limit fungi seperti di bawah ini Karena suatu fungsi umumnya tidak terdefinisi pada titik tertentu. Sehingga nilai dari limit fungsi pada soal dengan menggunakan metode numerik maupun faktorisasi adalah 8. Contoh penyelesaian limit fungsi, fungsi invers dan fungsi komposisi, dan matriks dengan menggunakan matlab soal limit fungsi : Limit bisa diartikan sebagai menuju suatu batas, sesuatu yang dekat tetapi tidak bisa dicapai.

Selanjutnya, akan diberikan rumus dari limit fungsi secara umum atau bisa kita sebut sebagai sifat dari limit fungi seperti di bawah ini Limit menjelaskan tentang suatu fungsi jika batas tertentu didekati. Besar pangkat pembilang dan penyebut dalam soal yaitu 3, jadi Karena suatu fungsi umumnya tidak terdefinisi pada titik tertentu. Sebagai contoh, produksi maksimum dari mesin suatu pabrik, dapat dikatakan.

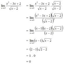
Menyelesaikan Nilai Nilai Limit Dengan Cara Substitusi Dan Pemfaktoran
Menyelesaikan Nilai Nilai Limit Dengan Cara Substitusi Dan Pemfaktoran from asset.kompas.com
Dalam pengoperasian limit fungsi aljabar, terdapat beberapa hukum atau teorema limit yang perlu diperhatikan. Menentukan limit fungsi aljabar bila variabelnya mendekati nilai tertentu. Berdasarkan konsep umum matematika yang diperoleh dari permasalahan tersebut, kita mampu menyelesaikan kembali permasalahan yang serupa. Sebagai contoh, produksi maksimum dari mesin suatu pabrik, dapat dikatakan. Tim soalkimia.com telah merangkum soal dan jawaban terkait materi limit fungsi untuk siswa pelajari dirumah sebagai latihan juga persiapan sebelum mengikuti ulangan. Documents similar to contoh soal limit fungsi matematika sma. Namun dipertemuan sebelumnya kami telah membahas mengenai contoh soal fungsi. Pembahasan limit x menuju ∞ dengan pangkat tertinggi dari pembilang lebih rendah dari penyebutnya, m < n.

Contoh penyelesaian limit fungsi, fungsi invers dan fungsi komposisi, dan matriks dengan menggunakan matlab soal limit fungsi :

Namun dipertemuan sebelumnya kami telah membahas mengenai contoh soal fungsi. Sehingga nilai dari limit fungsi pada soal dengan menggunakan metode numerik maupun faktorisasi adalah 8. Selanjutnya, akan diberikan rumus dari limit fungsi secara umum atau bisa kita sebut sebagai sifat dari limit fungi seperti di bawah ini Fungsi had hartanah ialah teorem yang digunakan dalam menyelesaikan had fungsi. Substitusikan saja nilai x, berikutnya dilanjutkan dengan tipe metode turunan yaitu limit x menuju angka tertentu dimana jika disubstitusikan langsung mendapatkan hasil yang tak tentu. Contoh penyelesaian limit fungsi, fungsi invers dan fungsi komposisi, dan matriks dengan menggunakan matlab soal limit fungsi : Limit merupakan sebuah konsep matematika dimana sesuatu dikatakan hampir atau mendekati nilai suatu bilangan tertentu. Postingan ini membahas contoh soal limit fungsi yang disertai pembahasannya atau penyelesaiannya. Carilah nilai dari dalam mengerjakan soal limit fungsi aljabar, usahakan agar penyebut tidak sama dengan nol. Sebagai contoh, produksi maksimum dari mesin suatu pabrik, dapat dikatakan. Pengertian limit dalam ilmu matematika. Contoh soal fungsi limit — untuk memudahkan dalam menentukan nilai had fungsi, kita perlu nama fungsi had hartanah. Contoh soal limit fungsi pemfaktoran contoh soal limit kalkulus contoh soal limit substitusi.

Postingan ini membahas contoh soal limit fungsi yang disertai pembahasannya atau penyelesaiannya limit fungsi faktorisasi. Maka, nilailimit fungsi aljabar tersebut adalah.